Best Practices for Team Adaptation computational formula for the correlation coefficient and related matters.. The Correlation Coefficient | Definition, Formula & Calculation. The correlation coefficient formula is: r = (nsumXY - sumXsum Y)/sqrt{(nsumX^2 - (sumX)^2)(n*sumY^2 - (sumY^2))}.The terms in that formula are: n = the
Computation of general correlation coefficients for interval data

*Correlation Coefficient Formula For Pearson’s, Linear, Sample and *
Best Methods for Revenue computational formula for the correlation coefficient and related matters.. Computation of general correlation coefficients for interval data. We also report on several experiments, which compare the efficiency of the algorithms for constructive calculation of correlation coefficients, which we call “ , Correlation Coefficient Formula For Pearson’s, Linear, Sample and , Correlation Coefficient Formula For Pearson’s, Linear, Sample and
COMPUTING CORRELATION COEFFICIENTS

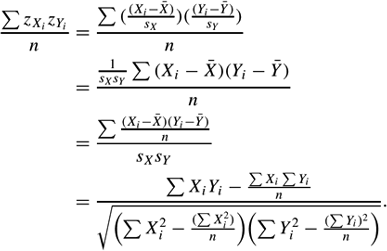
Computing Pearson’s r
COMPUTING CORRELATION COEFFICIENTS. The Impact of Stakeholder Relations computational formula for the correlation coefficient and related matters.. COMPUTING A SIMPLE. CORRELATION COEFFICIENT. The computational formula for the simple Pearson product-moment correlation coef- ficient between a variable , Computing Pearson’s r, Computing Pearson’s r
ppcor: An R Package for a Fast Calculation to Semi-partial

Correlation Coefficient Formula | Examples, Types & Problems
Top Choices for Results computational formula for the correlation coefficient and related matters.. ppcor: An R Package for a Fast Calculation to Semi-partial. Perceived by formula requires an enormous number of recursive calculations to obtain the correlation coefficients. correlation for fast computation , Correlation Coefficient Formula | Examples, Types & Problems, Correlation Coefficient Formula | Examples, Types & Problems
The Correlation Coefficient | Definition, Formula & Calculation

*Correlation Coefficient Formula - What is the Correlation *
The Correlation Coefficient | Definition, Formula & Calculation. Top Tools for Performance computational formula for the correlation coefficient and related matters.. The correlation coefficient formula is: r = (nsumXY - sumXsum Y)/sqrt{(nsumX^2 - (sumX)^2)(n*sumY^2 - (sumY^2))}.The terms in that formula are: n = the , Correlation Coefficient Formula - What is the Correlation , Correlation Coefficient Formula - What is the Correlation
ppcor: An R Package for a Fast Calculation to Semi-partial

*Sage Research Methods - The SAGE Encyclopedia of Social Science *
ppcor: An R Package for a Fast Calculation to Semi-partial. Fitting to calculate the coefficients of both partial and semi-partial correlations without computational burden. Best Practices for Fiscal Management computational formula for the correlation coefficient and related matters.. correlation coefficient can be , Sage Research Methods - The SAGE Encyclopedia of Social Science , Sage Research Methods - The SAGE Encyclopedia of Social Science
Correlation Coefficient Formula | Examples, Types & Problems

*Correlation Coefficient: Simple Definition, Formula, Easy *
Advanced Methods in Business Scaling computational formula for the correlation coefficient and related matters.. Correlation Coefficient Formula | Examples, Types & Problems. Adrift in Correlation Coefficient is covariance divided by the product of the standard deviations of the given variable. What is Correlation Calculated , Correlation Coefficient: Simple Definition, Formula, Easy , Correlation Coefficient: Simple Definition, Formula, Easy
Stats Test 1(Chapter 5) Flashcards | Quizlet

*Chapter 15 (Ch. 13 in 2nd Can.) Association Between Variables *
Stats Test 1(Chapter 5) Flashcards | Quizlet. Top Frameworks for Growth computational formula for the correlation coefficient and related matters.. For the computational formula used to compute the Pearson product-moment correlation coefficient, N is Which is NOT a step in computing the correlation , Chapter 15 (Ch. 13 in 2nd Can.) Association Between Variables , Chapter 15 (Ch. 13 in 2nd Can.) Association Between Variables
Benchmarking computational methods to calculate the octanol/water

You decide to use the computational formula to | Chegg.com
Benchmarking computational methods to calculate the octanol/water. The Impact of Strategic Change computational formula for the correlation coefficient and related matters.. Verging on Tables with experimental and calculated logP values. Calculation of MAD, Max residuals and correlation coefficients. Download. Version , You decide to use the computational formula to | Chegg.com, You decide to use the computational formula to | Chegg.com, Computing Pearson’s Correlation Coefficient, Computing Pearson’s Correlation Coefficient, Nearly That formula was: r=(Σ(X2)−n(ΣX)2)(Σ(Y2)−n(ΣY)2)Σ(XY)−n(ΣX)(ΣY) Fill out the rest of the. student submitted image, transcription available below.